ОТВЕТ на задание № 108 Учебник по Алгебре 8 класс Мерзляк Алгоритм успеха
Решебник №1
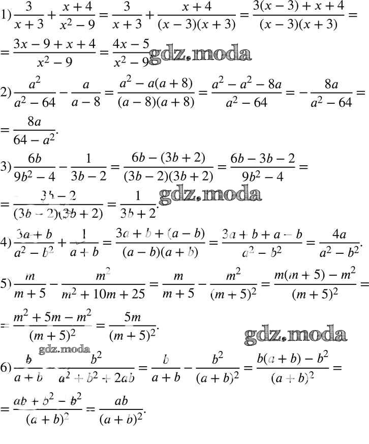
глава 1 / §4 / 108

Решебник №2
глава 1 / §4 / 108

Решебник №3
глава 1 / §4 / 108


Решебник №4
глава 1 / §4 / 108

Решебник №5
глава 1 / §4 / 108

Решебник №6
глава 1 / §4 / 108


Все ГДЗ по Алгебре 8 класс Алгоритм успеха