ОТВЕТ на задание № 110 Учебник по Алгебре 8 класс Мерзляк Алгоритм успеха
Решебник №1
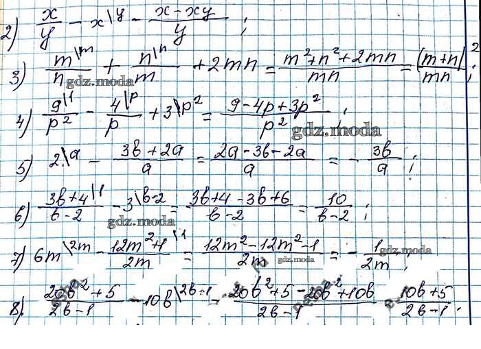
глава 1 / §4 / 110

Решебник №2
глава 1 / §4 / 110

Решебник №3
глава 1 / §4 / 110


Решебник №4
глава 1 / §4 / 110

Решебник №5
глава 1 / §4 / 110

Решебник №6
глава 1 / §4 / 110

Все ГДЗ по Алгебре 8 класс Алгоритм успеха