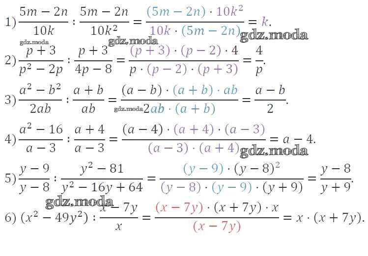
ОТВЕТ на задание № 152 Учебник по Алгебре 8 класс Мерзляк Алгоритм успеха
Решебник №1
глава 1 / §5 / 152

Решебник №2
глава 1 / §5 / 152

Решебник №3
глава 1 / §5 / 152


Решебник №4
глава 1 / §5 / 152

Решебник №5
глава 1 / §5 / 152

Решебник №6
глава 1 / §5 / 152

Все ГДЗ по Алгебре 8 класс Алгоритм успеха