ОТВЕТ на задание № 160 Учебник по Алгебре 8 класс Мерзляк Алгоритм успеха
Решебник №1
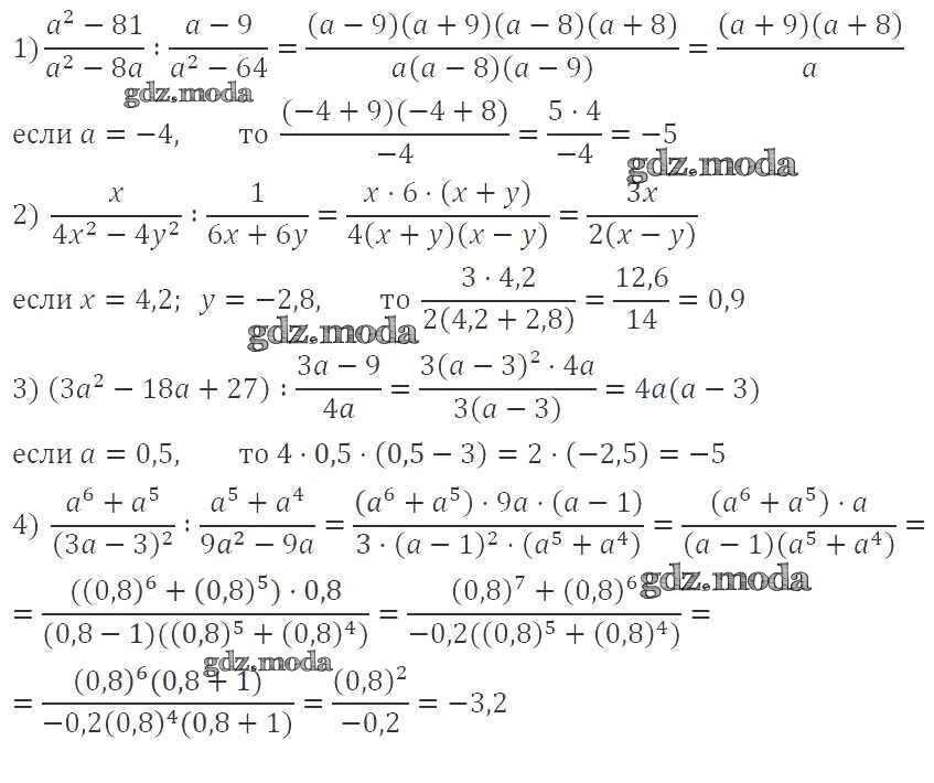
глава 1 / §5 / 160

Решебник №2
глава 1 / §5 / 160

Решебник №3
глава 1 / §5 / 160

Решебник №4
глава 1 / §5 / 160

Решебник №5
глава 1 / §5 / 160

Решебник №6
глава 1 / §5 / 160

Все ГДЗ по Алгебре 8 класс Алгоритм успеха