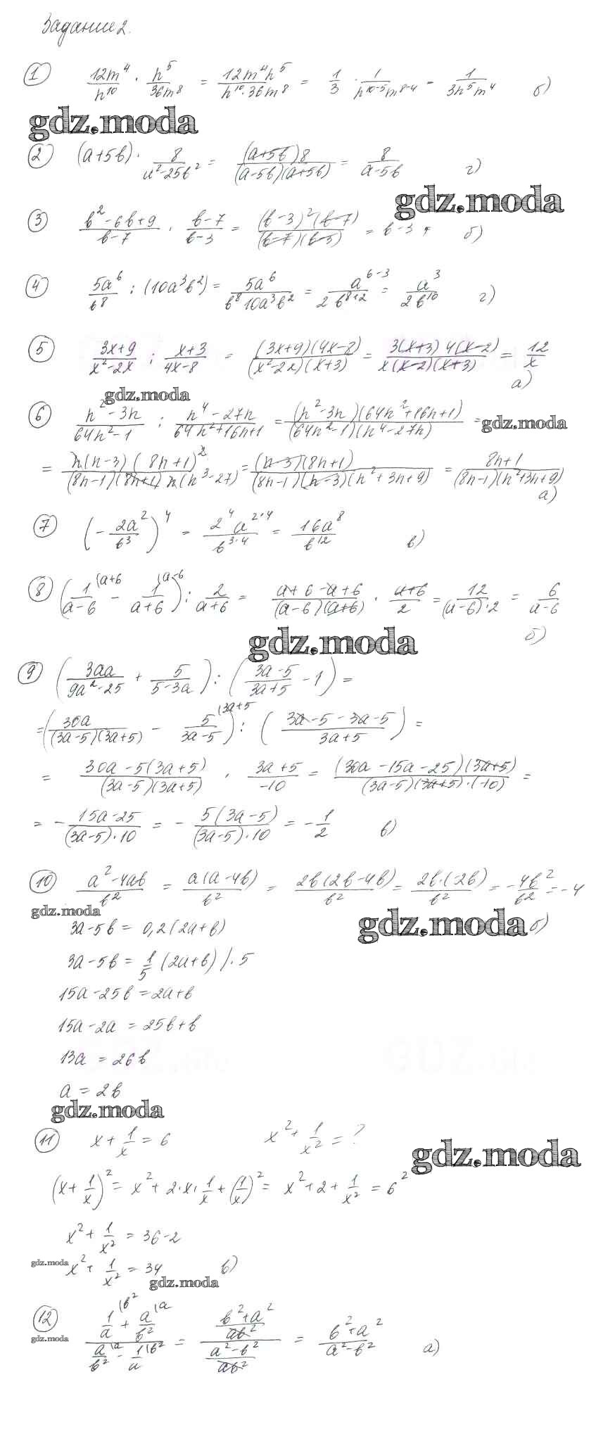
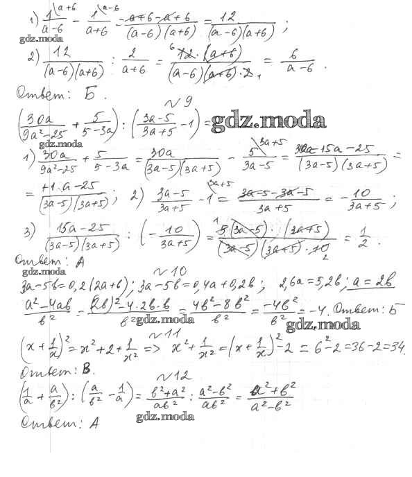
ОТВЕТ на задание № 1 Учебник по Алгебре 8 класс Мерзляк Алгоритм успеха
Решебник №1
глава 1 / проверь себя №2 / 1

Решебник №2
глава 1 / проверь себя №2 / 1


Решебник №3
глава 1 / проверь себя №2 / 1


Решебник №4
глава 1 / проверь себя №2 / 1

Решебник №5
глава 1 / проверь себя №2 / 1


Решебник №6
глава 1 / проверь себя №2 / 1

Все ГДЗ по Алгебре 8 класс Алгоритм успеха