ОТВЕТ на задание № 185 Учебник по Алгебре 8 класс Мерзляк Алгоритм успеха
Решебник №1
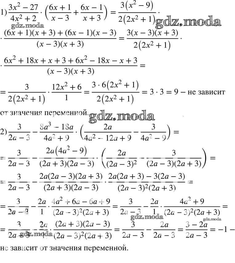
глава 1 / §6 / 185

Решебник №2
глава 1 / §6 / 185

Решебник №3
глава 1 / §6 / 185


Решебник №4
глава 1 / §6 / 185

Решебник №5
глава 1 / §6 / 185


Решебник №6
глава 1 / §6 / 185


Все ГДЗ по Алгебре 8 класс Алгоритм успеха