ОТВЕТ на задание № 219 Учебник по Алгебре 8 класс Мерзляк Алгоритм успеха
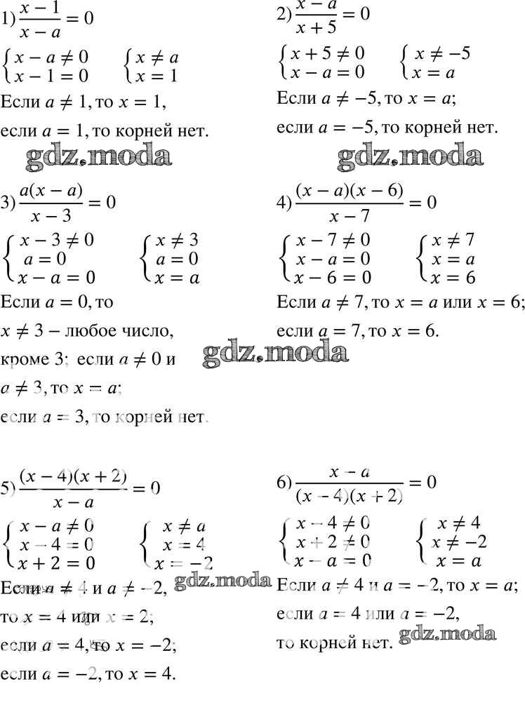
Решебник №1
глава 1 / §7 / 219

Решебник №2
глава 1 / §7 / 219

Решебник №3
глава 1 / §7 / 219


Решебник №4
глава 1 / §7 / 219

Решебник №5
глава 1 / §7 / 219


Решебник №6
глава 1 / §7 / 219


Все ГДЗ по Алгебре 8 класс Алгоритм успеха