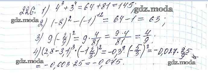
ОТВЕТ на задание № 226 Учебник по Алгебре 8 класс Мерзляк Алгоритм успеха
Решебник №1
глава 1 / §7 / 226

Решебник №2
глава 1 / §7 / 226

Решебник №3
глава 1 / §7 / 226

Решебник №4
глава 1 / §7 / 226

Решебник №5
глава 1 / §7 / 226

Решебник №6
глава 1 / §7 / 226

Все ГДЗ по Алгебре 8 класс Алгоритм успеха