ОТВЕТ на задание № 229 Учебник по Алгебре 8 класс Мерзляк Алгоритм успеха
Решебник №1
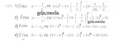
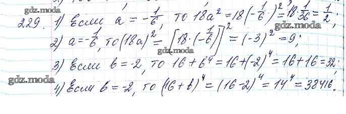
глава 1 / §7 / 229

Решебник №2
глава 1 / §7 / 229

Решебник №3
глава 1 / §7 / 229

Решебник №4
глава 1 / §7 / 229

Решебник №5
глава 1 / §7 / 229

Решебник №6
глава 1 / §7 / 229

Все ГДЗ по Алгебре 8 класс Алгоритм успеха