ОТВЕТ на задание № 235 Учебник по Алгебре 8 класс Мерзляк Алгоритм успеха
Решебник №1
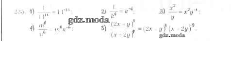
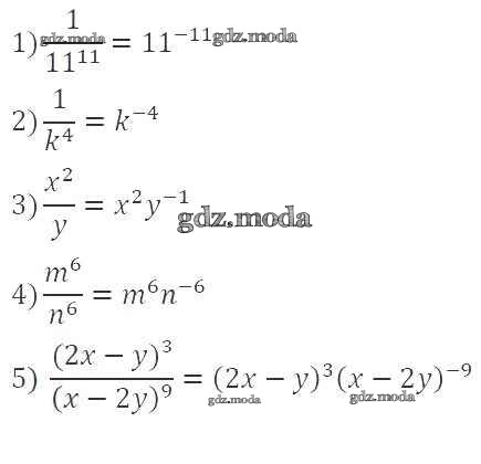
глава 1 / §8 / 235

Решебник №2
глава 1 / §8 / 235

Решебник №3
глава 1 / §8 / 235

Решебник №4
глава 1 / §8 / 235

Решебник №5
глава 1 / §8 / 235

Решебник №6
глава 1 / §8 / 235

Все ГДЗ по Алгебре 8 класс Алгоритм успеха