ОТВЕТ на задание № 257 Учебник по Алгебре 8 класс Мерзляк Алгоритм успеха
Решебник №1
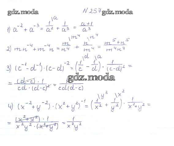
глава 1 / §8 / 257

Решебник №2
глава 1 / §8 / 257

Решебник №3
глава 1 / §8 / 257


Решебник №4
глава 1 / §8 / 257

Решебник №5
глава 1 / §8 / 257

Решебник №6
глава 1 / §8 / 257

Все ГДЗ по Алгебре 8 класс Алгоритм успеха