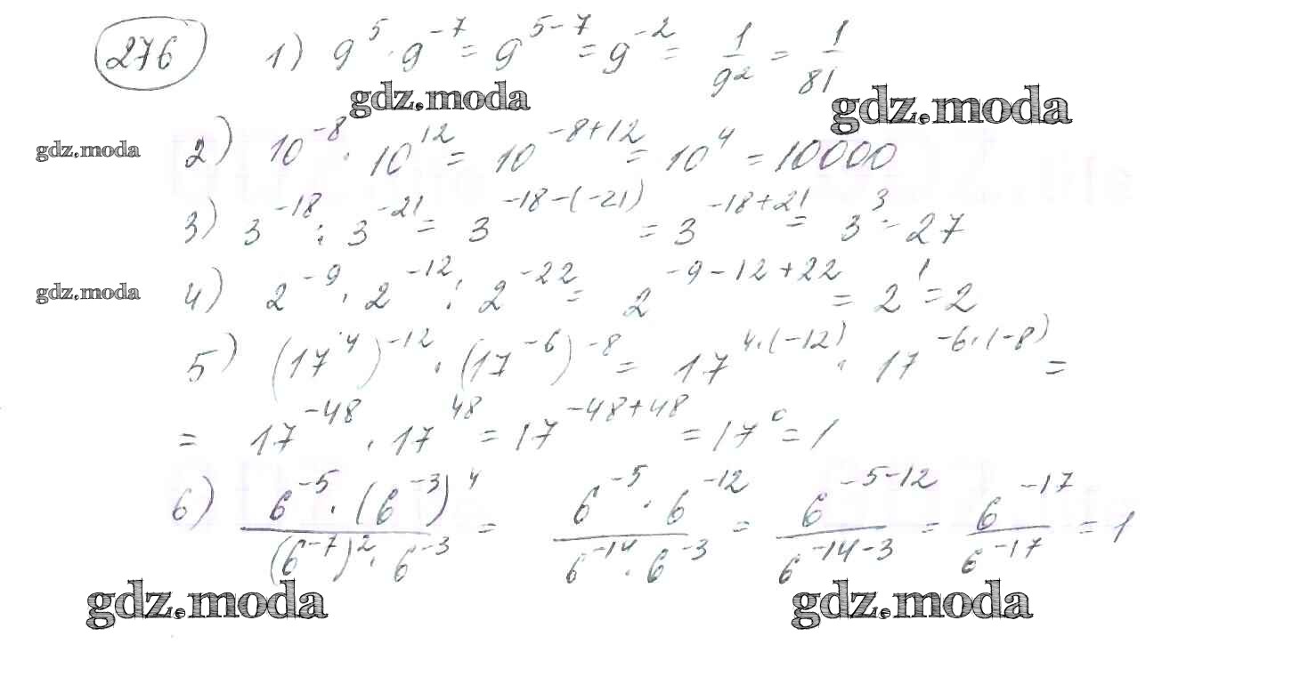
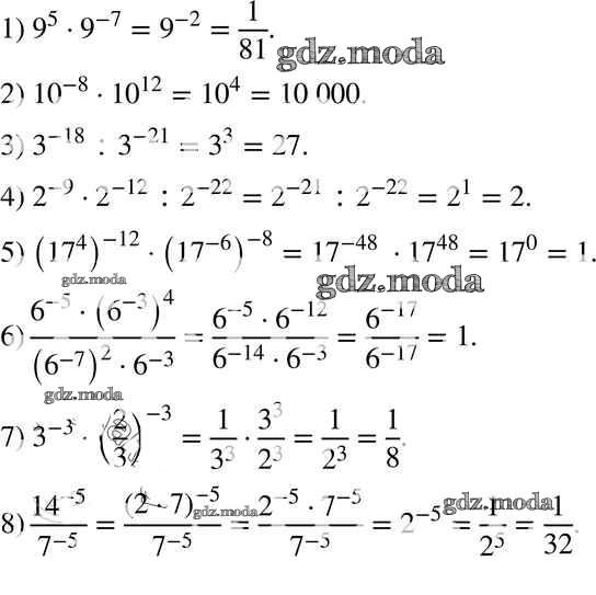
ОТВЕТ на задание № 276 Учебник по Алгебре 8 класс Мерзляк Алгоритм успеха
Решебник №1
глава 1 / §9 / 276

Решебник №2
глава 1 / §9 / 276

Решебник №3
глава 1 / §9 / 276


Решебник №4
глава 1 / §9 / 276

Решебник №5
глава 1 / §9 / 276

Решебник №6
глава 1 / §9 / 276


Все ГДЗ по Алгебре 8 класс Алгоритм успеха