ОТВЕТ на задание № 281 Учебник по Алгебре 8 класс Мерзляк Алгоритм успеха
Решебник №1
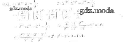
глава 1 / §9 / 281

Решебник №2
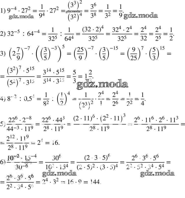
глава 1 / §9 / 281

Решебник №3
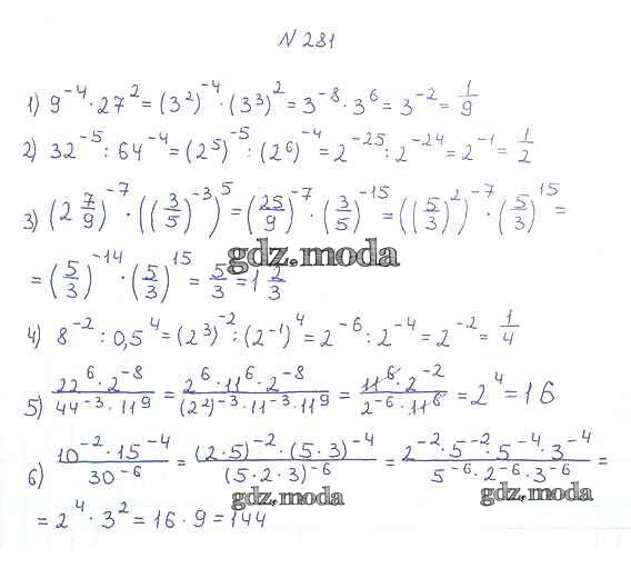
глава 1 / §9 / 281

Решебник №4
глава 1 / §9 / 281

Решебник №5
глава 1 / §9 / 281

Все ГДЗ по Алгебре 8 класс Алгоритм успеха