ОТВЕТ на задание № 368 Учебник по Алгебре 8 класс Мерзляк Алгоритм успеха
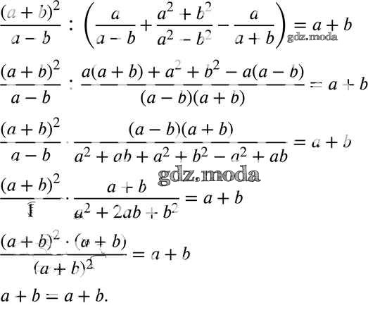
Решебник №1
глава 2 / §11 / 368

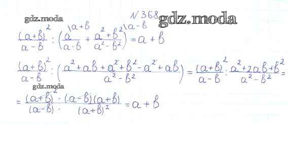
Решебник №2
глава 2 / §11 / 368

Решебник №3
глава 2 / §11 / 368

Решебник №4
глава 2 / §11 / 368

Решебник №5
глава 2 / §11 / 368

Решебник №6
глава 2 / §11 / 368

Все ГДЗ по Алгебре 8 класс Алгоритм успеха