ОТВЕТ на задание № 388 Учебник по Алгебре 8 класс Мерзляк Алгоритм успеха
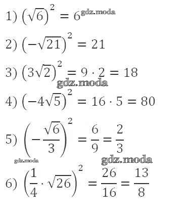
Решебник №1
глава 2 / §12 / 388

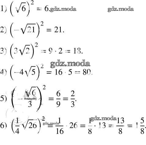
Решебник №2
глава 2 / §12 / 388

Решебник №3
глава 2 / §12 / 388

Решебник №4
глава 2 / §12 / 388

Решебник №5
глава 2 / §12 / 388

Решебник №6
глава 2 / §12 / 388

Все ГДЗ по Алгебре 8 класс Алгоритм успеха