ОТВЕТ на задание № 391 Учебник по Алгебре 8 класс Мерзляк Алгоритм успеха
Решебник №1
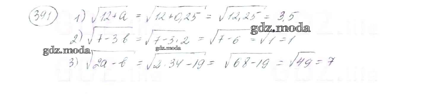
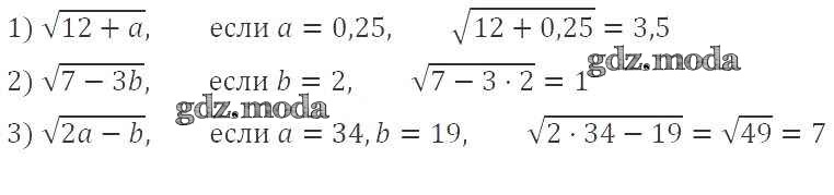
глава 2 / §12 / 391

Решебник №2
глава 2 / §12 / 391

Решебник №3
глава 2 / §12 / 391

Решебник №4
глава 2 / §12 / 391

Решебник №5
глава 2 / §12 / 391

Решебник №6
глава 2 / §12 / 391

Все ГДЗ по Алгебре 8 класс Алгоритм успеха