ОТВЕТ на задание № 393 Учебник по Алгебре 8 класс Мерзляк Алгоритм успеха
Решебник №1
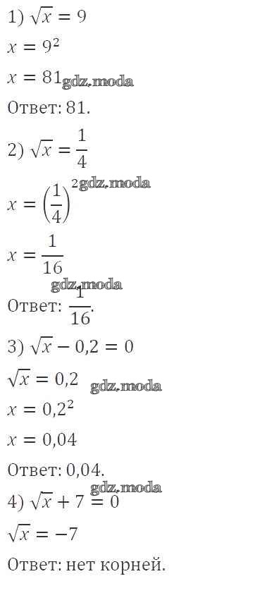
глава 2 / §12 / 393

Решебник №2
глава 2 / §12 / 393

Решебник №3
глава 2 / §12 / 393

Решебник №4
глава 2 / §12 / 393

Решебник №5
глава 2 / §12 / 393

Решебник №6
глава 2 / §12 / 393

Все ГДЗ по Алгебре 8 класс Алгоритм успеха