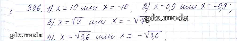
ОТВЕТ на задание № 396 Учебник по Алгебре 8 класс Мерзляк Алгоритм успеха
Решебник №1
глава 2 / §12 / 396

Решебник №2
глава 2 / §12 / 396

Решебник №3
глава 2 / §12 / 396

Решебник №4
глава 2 / §12 / 396

Решебник №5
глава 2 / §12 / 396

Решебник №6
глава 2 / §12 / 396

Все ГДЗ по Алгебре 8 класс Алгоритм успеха