ОТВЕТ на задание № 452 Учебник по Алгебре 8 класс Мерзляк Алгоритм успеха
Решебник №1
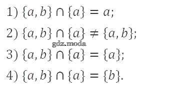
глава 2 / §14 / 452

Решебник №2
глава 2 / §14 / 452

Решебник №3
глава 2 / §14 / 452

Решебник №4
глава 2 / §14 / 452

Решебник №5
глава 2 / §14 / 452

Решебник №6
глава 2 / §14 / 452

Все ГДЗ по Алгебре 8 класс Алгоритм успеха