ОТВЕТ на задание № 467 Учебник по Алгебре 8 класс Мерзляк Алгоритм успеха
Решебник №1
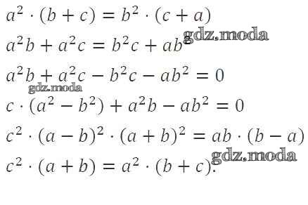
глава 2 / §14 / 467

Решебник №2
глава 2 / §14 / 467

Решебник №4
глава 2 / §14 / 467

Решебник №6
глава 2 / §14 / 467

Все ГДЗ по Алгебре 8 класс Алгоритм успеха