ОТВЕТ на задание № 478 Учебник по Алгебре 8 класс Мерзляк Алгоритм успеха
Решебник №1
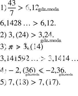
глава 2 / §15 / 478

Решебник №2
глава 2 / §15 / 478

Решебник №3
глава 2 / §15 / 478

Решебник №4
глава 2 / §15 / 478

Решебник №5
глава 2 / §15 / 478


Решебник №6
глава 2 / §15 / 478

Все ГДЗ по Алгебре 8 класс Алгоритм успеха