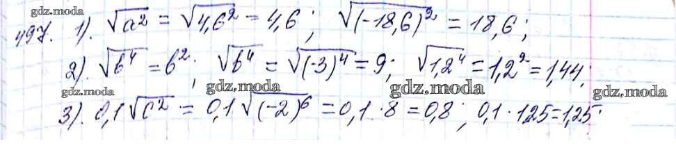
ОТВЕТ на задание № 497 Учебник по Алгебре 8 класс Мерзляк Алгоритм успеха
Решебник №1
глава 2 / §16 / 497

Решебник №2
глава 2 / §16 / 497

Решебник №3
глава 2 / §16 / 497

Решебник №4
глава 2 / §16 / 497

Решебник №5
глава 2 / §16 / 497

Решебник №6
глава 2 / §16 / 497

Все ГДЗ по Алгебре 8 класс Алгоритм успеха