ОТВЕТ на задание № 499 Учебник по Алгебре 8 класс Мерзляк Алгоритм успеха
Решебник №1
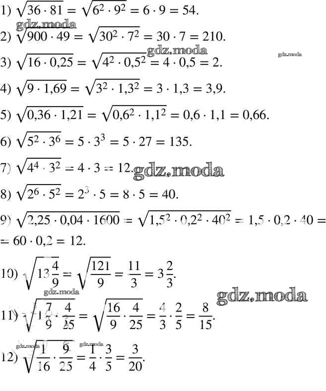
глава 2 / §16 / 499

Решебник №2
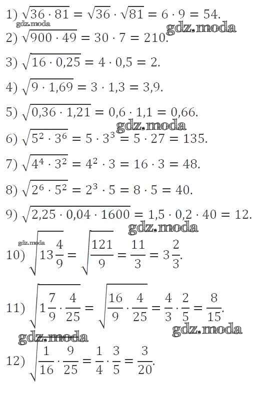
глава 2 / §16 / 499

Решебник №3
глава 2 / §16 / 499

Решебник №4
глава 2 / §16 / 499

Решебник №5
глава 2 / §16 / 499

Решебник №6
глава 2 / §16 / 499

Все ГДЗ по Алгебре 8 класс Алгоритм успеха