ОТВЕТ на задание № 501 Учебник по Алгебре 8 класс Мерзляк Алгоритм успеха
Решебник №1
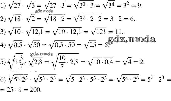
глава 2 / §16 / 501

Решебник №2
глава 2 / §16 / 501

Решебник №3
глава 2 / §16 / 501

Решебник №4
глава 2 / §16 / 501

Решебник №5
глава 2 / §16 / 501

Решебник №6
глава 2 / §16 / 501

Все ГДЗ по Алгебре 8 класс Алгоритм успеха