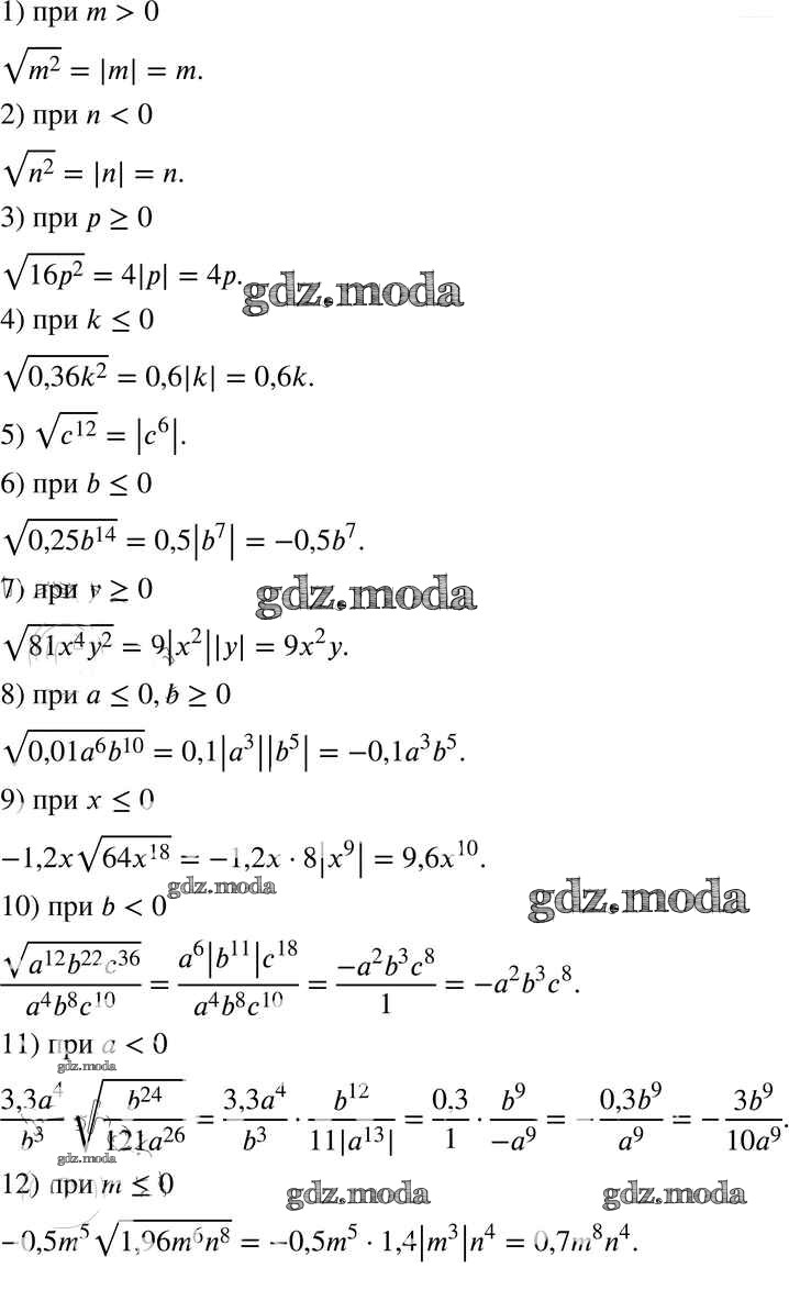
ОТВЕТ на задание № 512 Учебник по Алгебре 8 класс Мерзляк Алгоритм успеха
Решебник №1
глава 2 / §16 / 512

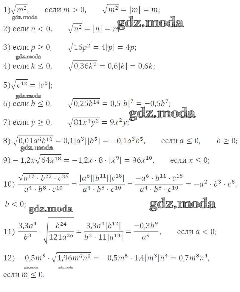
Решебник №2
глава 2 / §16 / 512

Решебник №4
глава 2 / §16 / 512

Решебник №5
глава 2 / §16 / 512

Решебник №6
глава 2 / §16 / 512

Все ГДЗ по Алгебре 8 класс Алгоритм успеха