ОТВЕТ на задание № 527 Учебник по Алгебре 8 класс Мерзляк Алгоритм успеха
Решебник №1
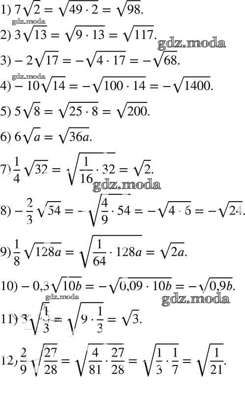
глава 2 / §17 / 527

Решебник №2
глава 2 / §17 / 527

Решебник №4
глава 2 / §17 / 527

Решебник №5
глава 2 / §17 / 527

Решебник №6
глава 2 / §17 / 527

Все ГДЗ по Алгебре 8 класс Алгоритм успеха