ОТВЕТ на задание № 550 Учебник по Алгебре 8 класс Мерзляк Алгоритм успеха
Решебник №1
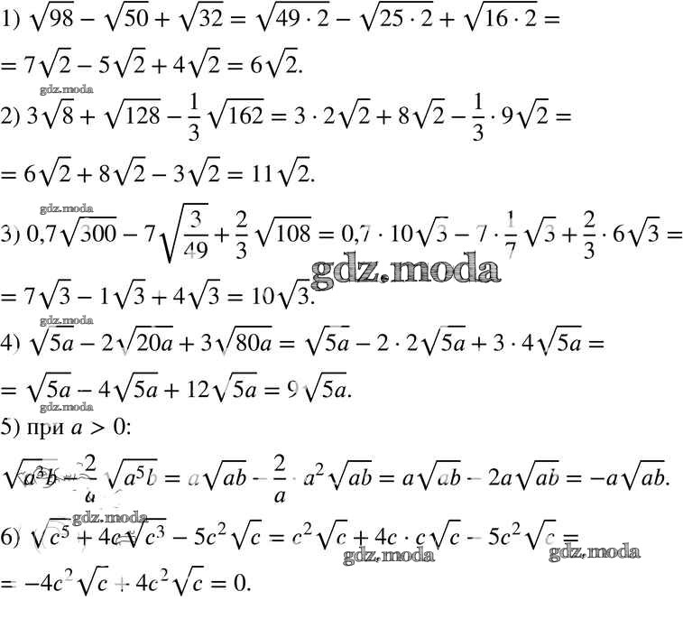
глава 2 / §17 / 550

Решебник №2
глава 2 / §17 / 550

Решебник №4
глава 2 / §17 / 550

Решебник №5
глава 2 / §17 / 550

Решебник №6
глава 2 / §17 / 550

Все ГДЗ по Алгебре 8 класс Алгоритм успеха