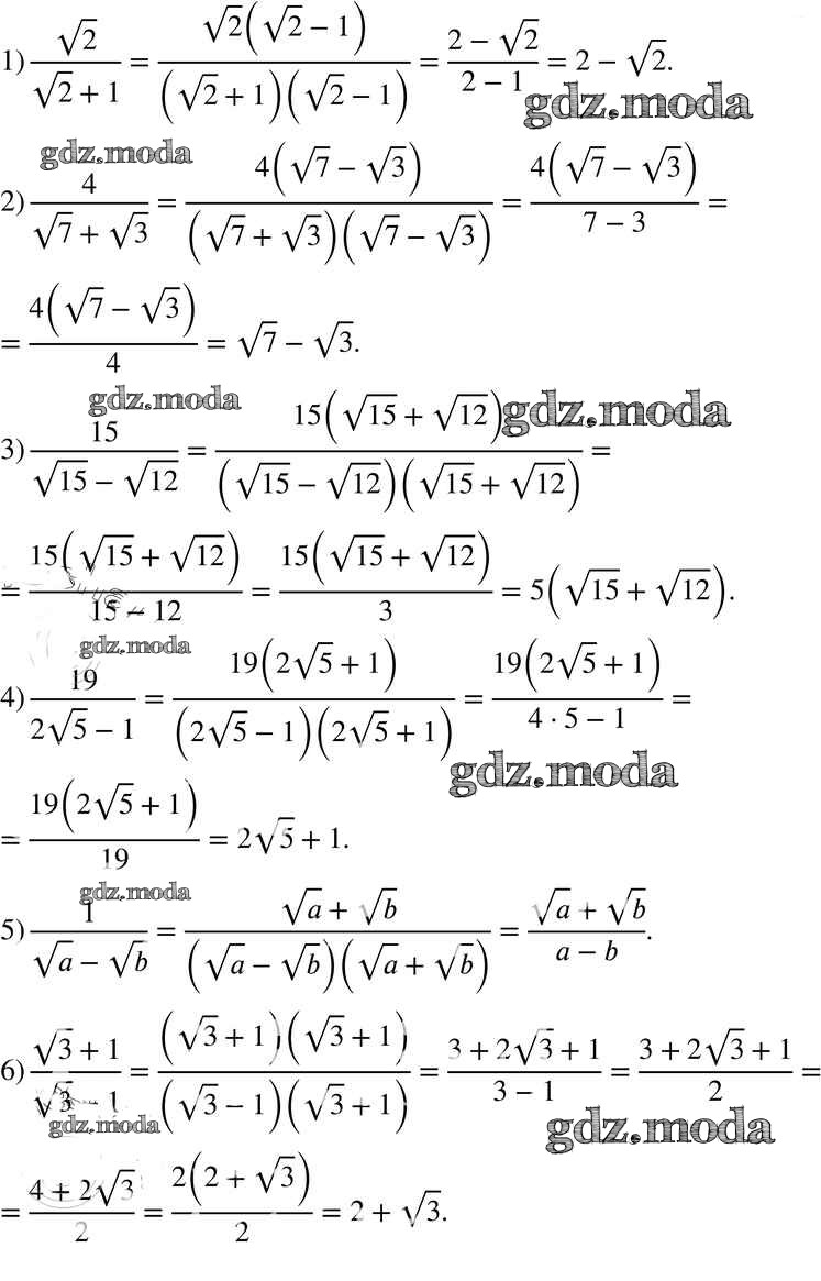
ОТВЕТ на задание № 557 Учебник по Алгебре 8 класс Мерзляк Алгоритм успеха
Решебник №1
глава 2 / §17 / 557

Решебник №2
глава 2 / §17 / 557

Решебник №4
глава 2 / §17 / 557

Решебник №5
глава 2 / §17 / 557

Решебник №6
глава 2 / §17 / 557


Все ГДЗ по Алгебре 8 класс Алгоритм успеха