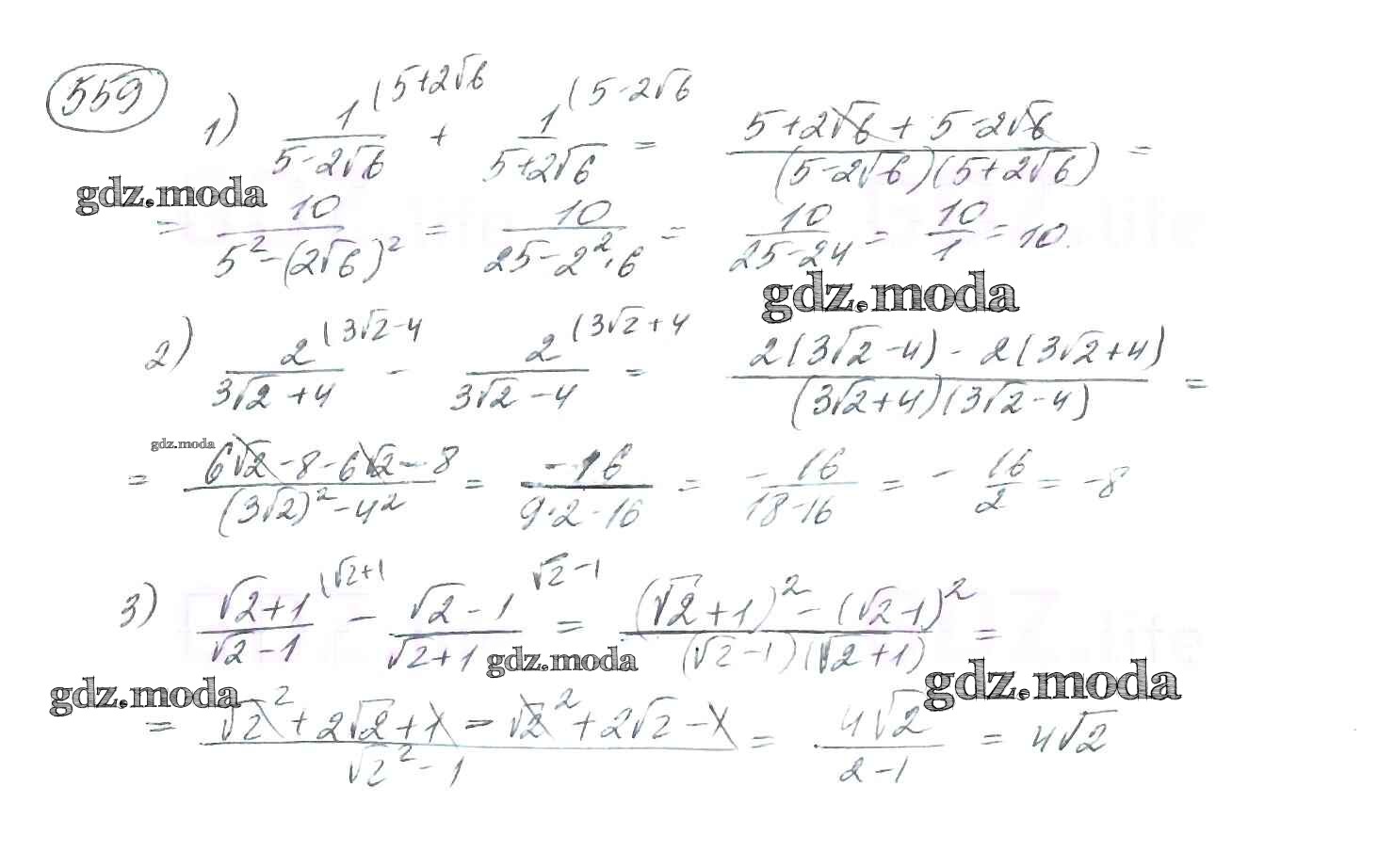
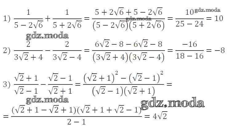
ОТВЕТ на задание № 559 Учебник по Алгебре 8 класс Мерзляк Алгоритм успеха
Решебник №1
глава 2 / §17 / 559

Решебник №2
глава 2 / §17 / 559

Решебник №4
глава 2 / §17 / 559

Решебник №5
глава 2 / §17 / 559

Решебник №6
глава 2 / §17 / 559

Все ГДЗ по Алгебре 8 класс Алгоритм успеха