ОТВЕТ на задание № 562 Учебник по Алгебре 8 класс Мерзляк Алгоритм успеха
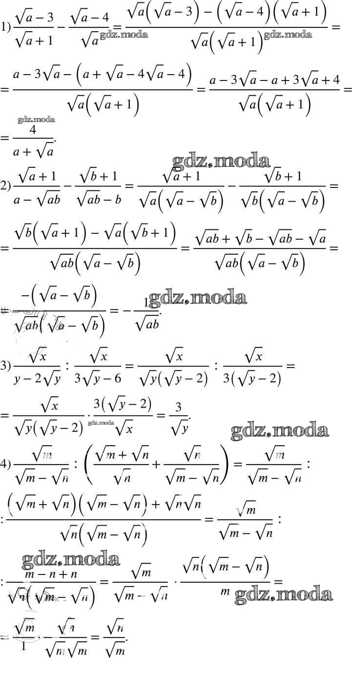
Решебник №1
глава 2 / §17 / 562

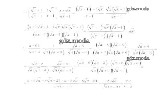
Решебник №2
глава 2 / §17 / 562


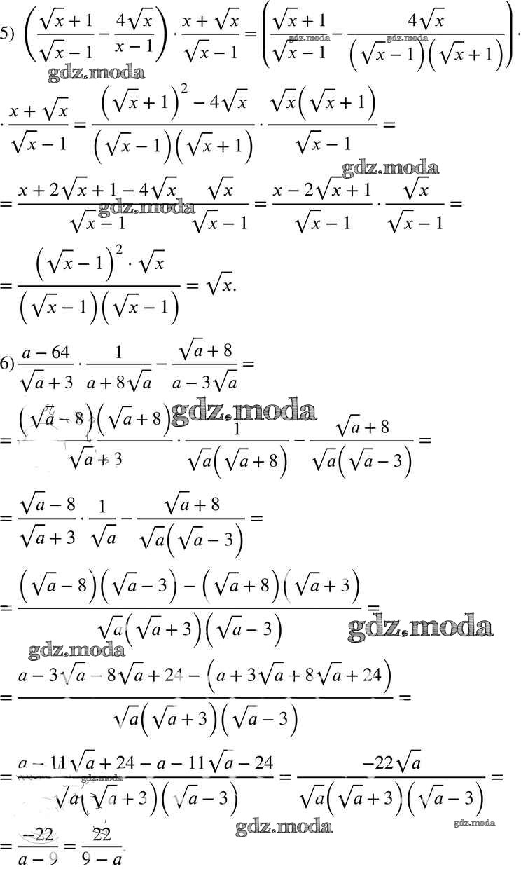
Решебник №4
глава 2 / §17 / 562

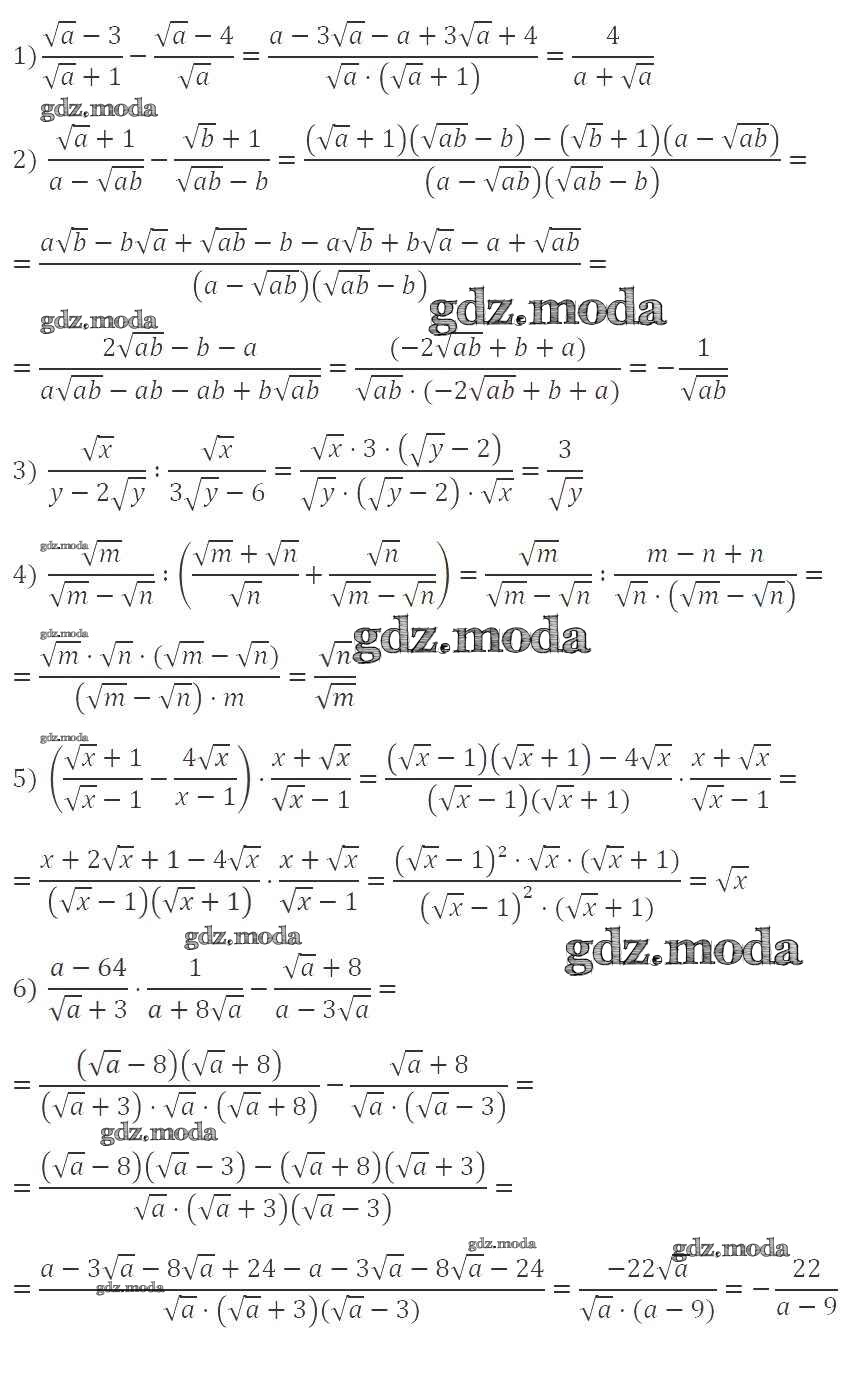
Решебник №5
глава 2 / §17 / 562


Решебник №6
глава 2 / §17 / 562


Все ГДЗ по Алгебре 8 класс Алгоритм успеха