ОТВЕТ на задание № 566 Учебник по Алгебре 8 класс Мерзляк Алгоритм успеха
Решебник №1
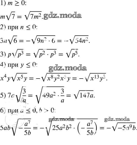
глава 2 / §17 / 566

Решебник №2
глава 2 / §17 / 566

Решебник №4
глава 2 / §17 / 566

Решебник №5
глава 2 / §17 / 566

Решебник №6
глава 2 / §17 / 566

Все ГДЗ по Алгебре 8 класс Алгоритм успеха