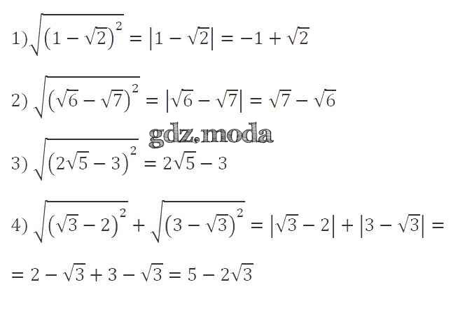
ОТВЕТ на задание № 598 Учебник по Алгебре 8 класс Мерзляк Алгоритм успеха
Решебник №1
глава 2 / §18 / 598

Решебник №2
глава 2 / §18 / 598

Решебник №3
глава 2 / §18 / 598

Решебник №4
глава 2 / §18 / 598

Решебник №5
глава 2 / §18 / 598

Решебник №6
глава 2 / §18 / 598

Все ГДЗ по Алгебре 8 класс Алгоритм успеха