ОТВЕТ на задание № 606 Учебник по Алгебре 8 класс Мерзляк Алгоритм успеха
Решебник №1
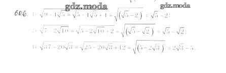
глава 2 / §18 / 606

Решебник №2
глава 2 / §18 / 606

Решебник №3
глава 2 / §18 / 606


Решебник №4
глава 2 / §18 / 606

Решебник №5
глава 2 / §18 / 606

Решебник №6
глава 2 / §18 / 606

Все ГДЗ по Алгебре 8 класс Алгоритм успеха