ОТВЕТ на задание № 609 Учебник по Алгебре 8 класс Мерзляк Алгоритм успеха
Решебник №1
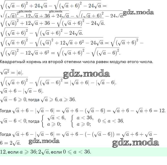
глава 2 / §18 / 609

Решебник №2
глава 2 / §18 / 609

Решебник №3
глава 2 / §18 / 609


Решебник №4
глава 2 / §18 / 609

Решебник №5
глава 2 / §18 / 609

Решебник №6
глава 2 / §18 / 609

Все ГДЗ по Алгебре 8 класс Алгоритм успеха