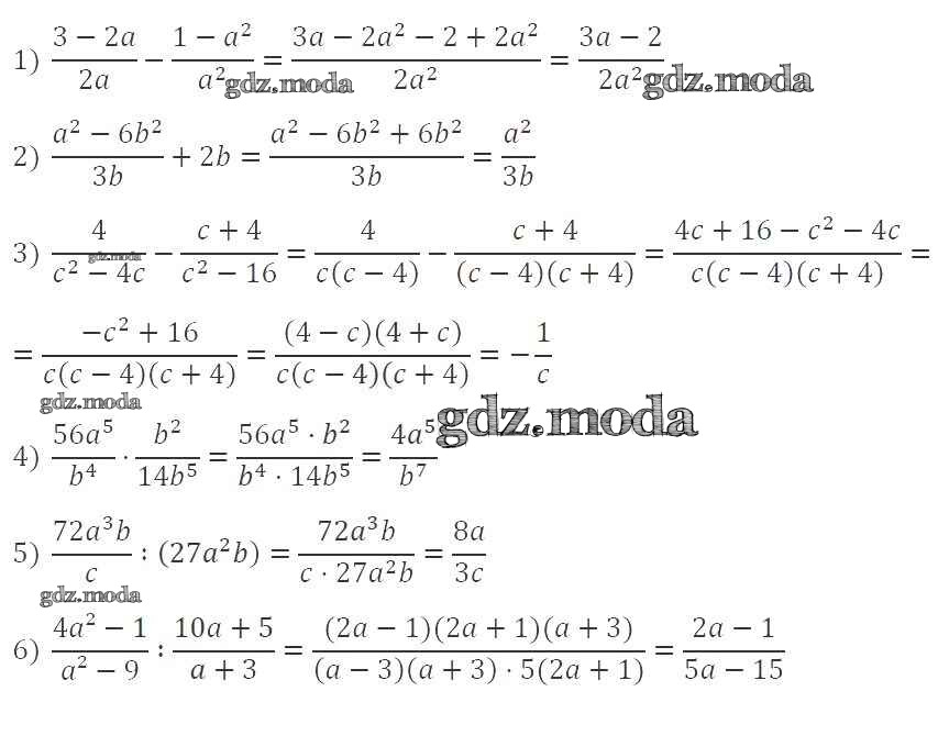
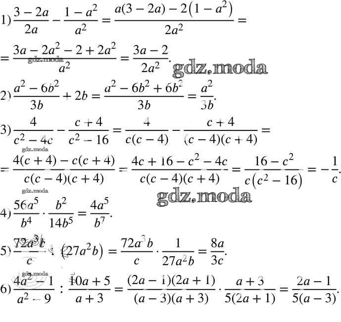
ОТВЕТ на задание № 651 Учебник по Алгебре 8 класс Мерзляк Алгоритм успеха
Решебник №1
глава 3 / §19 / 651

Решебник №2
глава 3 / §19 / 651

Решебник №3
глава 3 / §19 / 651


Решебник №4
глава 3 / §19 / 651

Решебник №5
глава 3 / §19 / 651

Решебник №6
глава 3 / §19 / 651

Все ГДЗ по Алгебре 8 класс Алгоритм успеха