ОТВЕТ на задание № 673 Учебник по Алгебре 8 класс Мерзляк Алгоритм успеха
Решебник №1
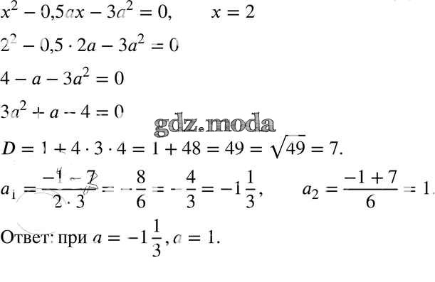
глава 3 / §20 / 673

Решебник №2
глава 3 / §20 / 673

Решебник №3
глава 3 / §20 / 673

Решебник №4
глава 3 / §20 / 673

Решебник №5
глава 3 / §20 / 673

Решебник №6
глава 3 / §20 / 673

Все ГДЗ по Алгебре 8 класс Алгоритм успеха