ОТВЕТ на задание № 697 Учебник по Алгебре 8 класс Мерзляк Алгоритм успеха
Решебник №1
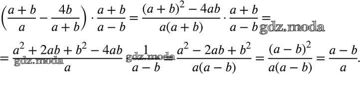
глава 3 / §20 / 697

Решебник №2
глава 3 / §20 / 697

Решебник №3
глава 3 / §20 / 697


Решебник №4
глава 3 / §20 / 697

Решебник №5
глава 3 / §20 / 697

Решебник №6
глава 3 / §20 / 697

Все ГДЗ по Алгебре 8 класс Алгоритм успеха