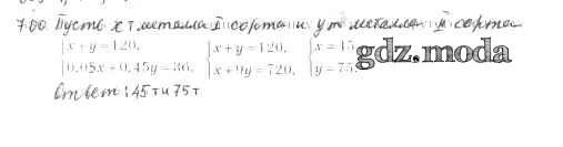
ОТВЕТ на задание № 700 Учебник по Алгебре 8 класс Мерзляк Алгоритм успеха
Решебник №1
глава 3 / §20 / 700

Решебник №2
глава 3 / §20 / 700

Решебник №3
глава 3 / §20 / 700


Решебник №4
глава 3 / §20 / 700

Решебник №5
глава 3 / §20 / 700

Решебник №6
глава 3 / §20 / 700

Все ГДЗ по Алгебре 8 класс Алгоритм успеха