ОТВЕТ на задание № 712 Учебник по Алгебре 8 класс Мерзляк Алгоритм успеха
Решебник №1
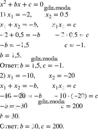
глава 3 / §21 / 712

Решебник №2
глава 3 / §21 / 712

Решебник №3
глава 3 / §21 / 712

Решебник №4
глава 3 / §21 / 712

Решебник №5
глава 3 / §21 / 712

Решебник №6
глава 3 / §21 / 712

Все ГДЗ по Алгебре 8 класс Алгоритм успеха