ОТВЕТ на задание № 715 Учебник по Алгебре 8 класс Мерзляк Алгоритм успеха
Решебник №1
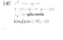
глава 3 / §21 / 715

Решебник №2
глава 3 / §21 / 715

Решебник №3
глава 3 / §21 / 715

Решебник №4
глава 3 / §21 / 715

Решебник №5
глава 3 / §21 / 715

Решебник №6
глава 3 / §21 / 715

Все ГДЗ по Алгебре 8 класс Алгоритм успеха