ОТВЕТ на задание № 731 Учебник по Алгебре 8 класс Мерзляк Алгоритм успеха
Решебник №1
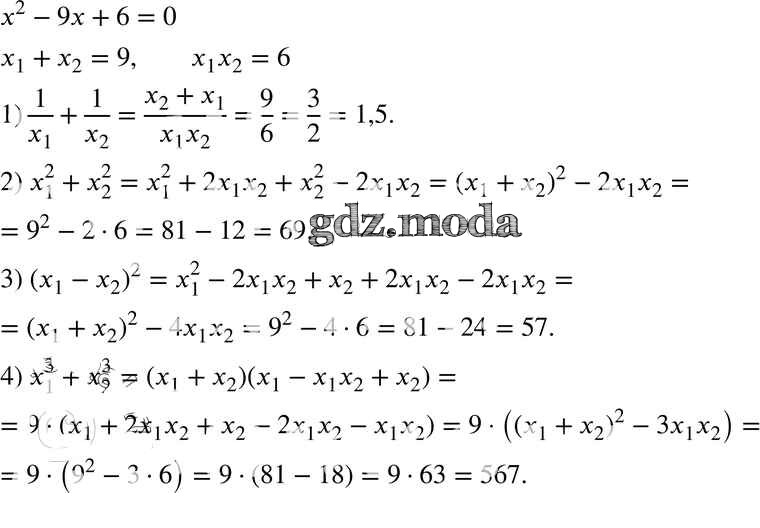
глава 3 / §21 / 731

Решебник №2
глава 3 / §21 / 731

Решебник №3
глава 3 / §21 / 731


Решебник №4
глава 3 / §21 / 731

Решебник №5
глава 3 / §21 / 731

Решебник №6
глава 3 / §21 / 731

Все ГДЗ по Алгебре 8 класс Алгоритм успеха