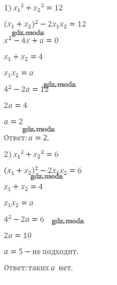
ОТВЕТ на задание № 743 Учебник по Алгебре 8 класс Мерзляк Алгоритм успеха
Решебник №1
глава 3 / §21 / 743

Решебник №2
глава 3 / §21 / 743

Решебник №3
глава 3 / §21 / 743


Решебник №4
глава 3 / §21 / 743

Решебник №5
глава 3 / §21 / 743

Решебник №6
глава 3 / §21 / 743

Все ГДЗ по Алгебре 8 класс Алгоритм успеха