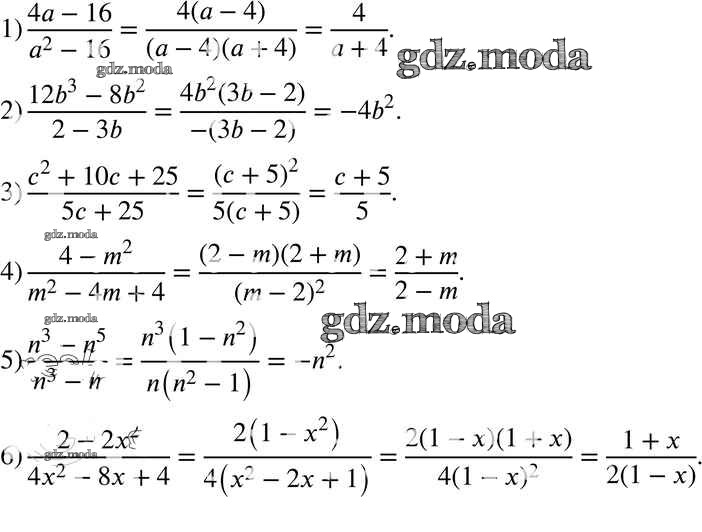
ОТВЕТ на задание № 745 Учебник по Алгебре 8 класс Мерзляк Алгоритм успеха
Решебник №1
глава 3 / §21 / 745

Решебник №2
глава 3 / §21 / 745

Решебник №3
глава 3 / §21 / 745

Решебник №4
глава 3 / §21 / 745

Решебник №5
глава 3 / §21 / 745

Решебник №6
глава 3 / §21 / 745


Все ГДЗ по Алгебре 8 класс Алгоритм успеха