ОТВЕТ на задание № 751 Учебник по Алгебре 8 класс Мерзляк Алгоритм успеха
Решебник №1
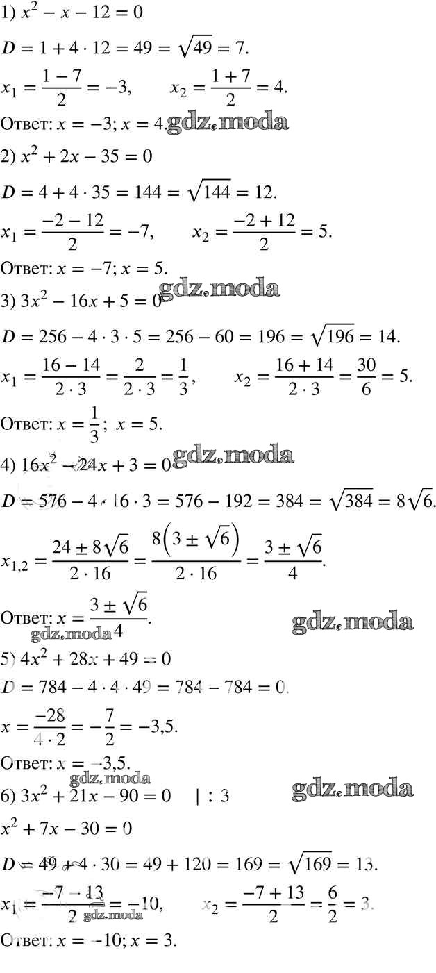
глава 3 / §22 / 751

Решебник №2
глава 3 / §22 / 751

Решебник №3
глава 3 / §22 / 751



Решебник №4
глава 3 / §22 / 751

Решебник №5
глава 3 / §22 / 751

Решебник №6
глава 3 / §22 / 751

Все ГДЗ по Алгебре 8 класс Алгоритм успеха