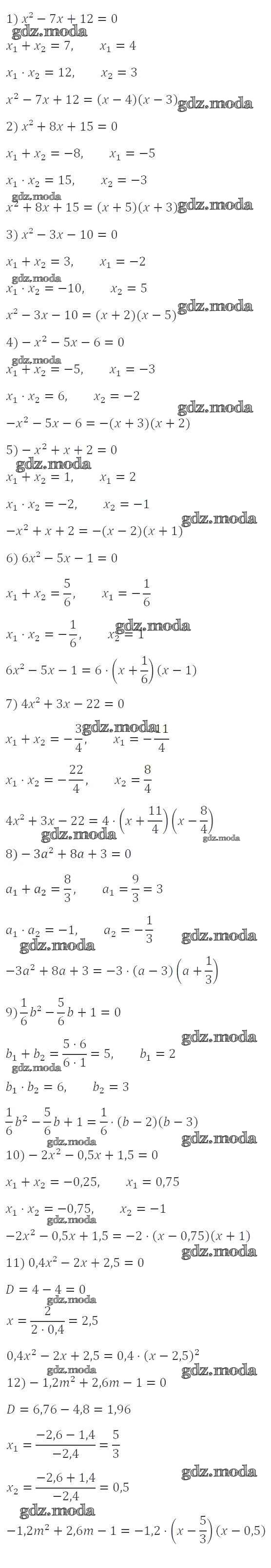
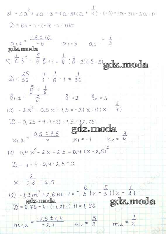
ОТВЕТ на задание № 753 Учебник по Алгебре 8 класс Мерзляк Алгоритм успеха
Решебник №1
глава 3 / §22 / 753

Решебник №2
глава 3 / §22 / 753



Решебник №3
глава 3 / §22 / 753



Решебник №4
глава 3 / §22 / 753


Решебник №5
глава 3 / §22 / 753

Решебник №6
глава 3 / §22 / 753




Все ГДЗ по Алгебре 8 класс Алгоритм успеха