ОТВЕТ на задание № 757 Учебник по Алгебре 8 класс Мерзляк Алгоритм успеха
Решебник №1
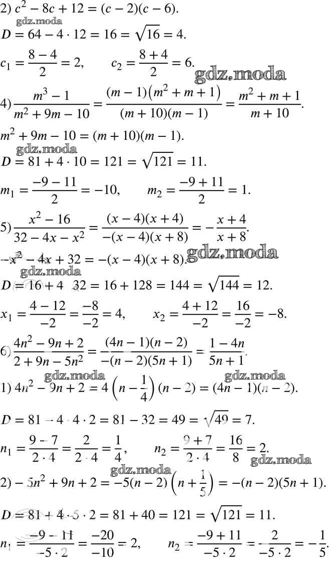
глава 3 / §22 / 757

Решебник №2
глава 3 / §22 / 757


Решебник №3
глава 3 / §22 / 757



Решебник №4
глава 3 / §22 / 757


Решебник №5
глава 3 / §22 / 757


Решебник №6
глава 3 / §22 / 757


Все ГДЗ по Алгебре 8 класс Алгоритм успеха