ОТВЕТ на задание № 769 Учебник по Алгебре 8 класс Мерзляк Алгоритм успеха
Решебник №1
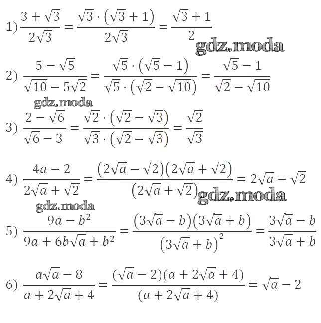
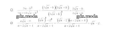
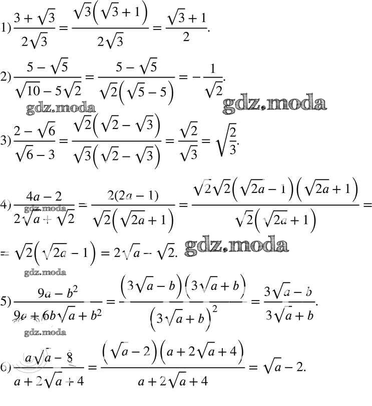
глава 3 / §22 / 769

Решебник №2
глава 3 / §22 / 769

Решебник №3
глава 3 / §22 / 769


Решебник №4
глава 3 / §22 / 769

Решебник №5
глава 3 / §22 / 769


Решебник №6
глава 3 / §22 / 769

Все ГДЗ по Алгебре 8 класс Алгоритм успеха