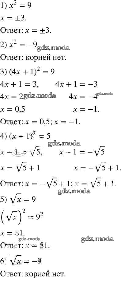
ОТВЕТ на задание № 772 Учебник по Алгебре 8 класс Мерзляк Алгоритм успеха
Решебник №1
глава 3 / §22 / 772

Решебник №2
глава 3 / §22 / 772

Решебник №3
глава 3 / §22 / 772


Решебник №4
глава 3 / §22 / 772

Решебник №5
глава 3 / §22 / 772

Решебник №6
глава 3 / §22 / 772

Все ГДЗ по Алгебре 8 класс Алгоритм успеха