ОТВЕТ на задание № 1 Учебник по Алгебре 8 класс Мерзляк Алгоритм успеха
Решебник №1
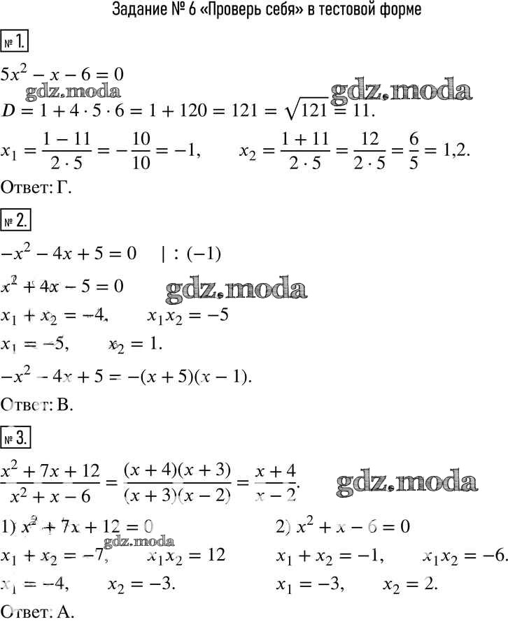
глава 3 / проверь себя №6 / 1

Решебник №2
глава 3 / проверь себя №6 / 1




Решебник №3
глава 3 / проверь себя №6 / 1


Решебник №4
глава 3 / проверь себя №6 / 1

Решебник №5
глава 3 / проверь себя №6 / 1


Решебник №6
глава 3 / проверь себя №6 / 1



Все ГДЗ по Алгебре 8 класс Алгоритм успеха