ОТВЕТ на задание № 829 Учебник по Алгебре 8 класс Мерзляк Алгоритм успеха
Решебник №1
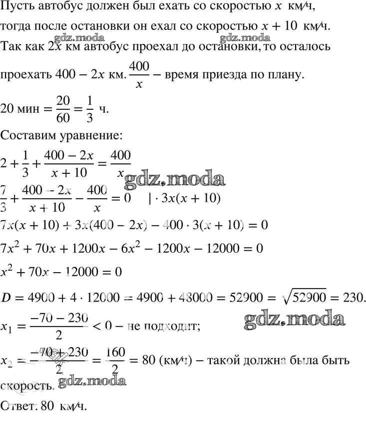
глава 3 / §24 / 829

Решебник №2
глава 3 / §24 / 829

Решебник №3
глава 3 / §24 / 829

Решебник №4
глава 3 / §24 / 829

Решебник №5
глава 3 / §24 / 829


Решебник №6
глава 3 / §24 / 829

Все ГДЗ по Алгебре 8 класс Алгоритм успеха